Introduction


Since some numbers (such as the square root of a negative number) do not exist, a new term is created to account for them.This new term is called i

Multiplication and division


Equating complex numbers


 ,

LC solution



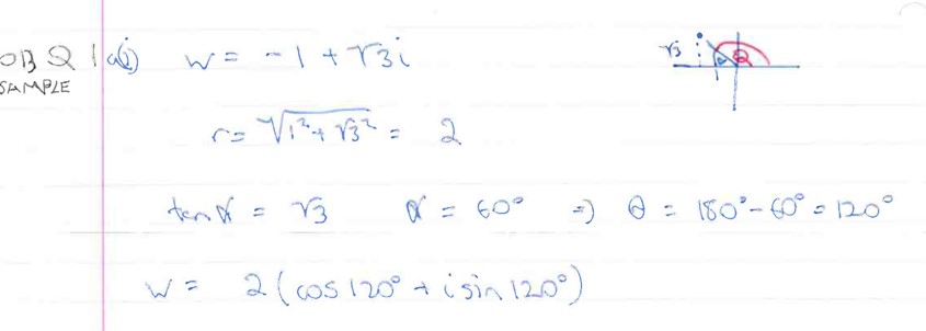
Argand Diagram



Polar form


Multiplication & Division in polar form


De Moivre's Theorem


LC Solution



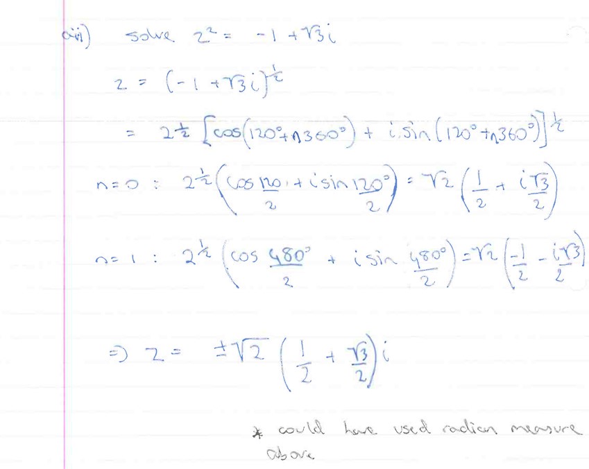
Finding roots

LC solutions


© Copyright rmcstudy